Green phosphors
The new technology of synthesys of phosphors with peak of emission in the green region of the spectra, from the lutetium - aluminum garnet, was developed by specialists of our company.
By using various allowing dopants and variation of technological process, we can offer the development of the the green phosphors with required spectral characteristics and suitable production cost.
And either, the technologies of incapsulaion of the phosphors to organic and inorganic matrices was developed (for example - to silicon, acrylic lacquer, glass, molten salts, and so on). These technologies allows to build a wide range of new luminiscent products: luminiscent dyes, luminiscent optics, other similar products.
- Description
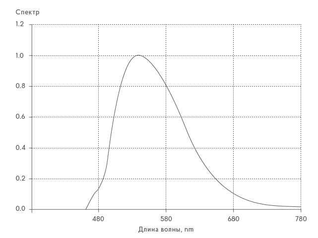
Technical characteristics
| Color temperature | 9 000 K |
| CIE X value | 0,3885 |
| CIE Y value | 0.5653 |
| Relative intensity | 120 lm |
| Dominant wavelenght | 562,1 nm |
| Peak emission wavelenght | 534 nm |
| Peak wight | 112.8 nm |
| Chips range | 430 - 450 nm |
| Particle size, D50 | 12 µm |
The specra of phosphor, sythesied from lutetium - aluminum garnet, without allowing dopants.

